歪歪扭扭虫虫漫画免费阅读 - 韩漫资源聚合

你好!歡迎光臨江蘇中偉測控儀表有限公司!主營產品:智能渦街流量計插入式電磁流量計液體渦輪流量計

噴嘴流量計

23噴嘴流量計01.jpg
23噴嘴流量計03.jpg
  • 23噴嘴流量計01.jpg
  • 23噴嘴流量計03.jpg
噴嘴流量計是一種高精度的流量測量裝置,是一種喉部取壓低β值長頸式噴嘴裝置,常用于發電廠的主流量測量,如電廠凝水流量的準確測量、電廠給水流量或蒸汽量的測量,以及風機性能試驗、壓縮機性能試驗等高精度流量試

Description:

一、產品概述: 

ZW-LGP系列噴嘴流量計有悠久的歷史背景,各種試驗數據齊全。結構簡單,無可動部件、長期使用穩定可靠,豐富的設計制造和應用經驗。標準化程度高,可不必進行實流標定。標準孔板有可靠的實驗數據和完善的******、******標準。在國外和國內有著其固有的巨大市場,用戶熟悉、數據完善;遵循******標準計算與加工、使用靈活方便;國內流量測量中應用***廣泛的仍然是差壓式流量計。

噴嘴具有耐高溫高壓、耐沖擊、使用壽命長、測量范圍大、測量精度等特點,適用于電廠高溫高壓蒸汽熱網管道流速高的流體流量測量。標準噴嘴按國標GB/T2624-93進行設計制造,按JJG640-94進行檢定,無需實流標定。

二、工作原理:
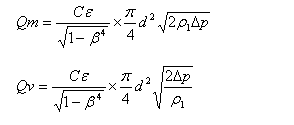
ZW-LGP系列噴嘴流量計的原理是采用節流式流量傳感器。它在噴嘴的基礎上采用了特殊的取壓(喉部取壓)方式,使該流量傳感器不僅具有傳統長頸噴嘴的優點,同時還具備流出系數穩定,重復性高等******優點。是一種高精度流量傳感器。流量計算公式:

式中:  ,——分別為質量流量(㎏/s)和體積流量(m3/s);
——流出系數 ;
——可膨脹性系數;
——節流件開孔直徑,m;
——直徑比,
——管道內徑,m;
——被測流體密度,㎏/m;
——差壓,Pa;

通過測量壓差來衡量流體流量的大小。這種測量方法是以能量守衡定律和流動連續性定律為基準的。充滿管道的流體,當它們流經管道內的節流裝置時,流束將在節流裝置的節流件處形成局部收縮,從而使流速增加,靜壓力低,于是在節流件前后便產生了壓力降,即壓差,介質流動的流量越大,在節流件前后產生的壓差就越大。 
三、應用場合:
ZW-LGP系列噴嘴流量計是測量流量的差壓發生裝置,配合各種差壓計或差壓變送器可測量管道中各種流體的流量。標準噴嘴節流裝置與差壓變送器配套使用,可測量液體、蒸汽、氣體的流量,廣泛應用于石油、化工、冶金、電力、輕工等部門。測量介質如下:

1、液體:熱水、冷水、化工液、輕體質油。
2、氣體:高爐煤氣、焦爐煤氣、各種單組分多組分氣體。
3、過熱蒸汽、飽和蒸汽。
4、壓縮空氣。
5、天然氣,火炬氣,液化氣。

四、主要特點:

1、節流裝置結構易于復制,簡單、牢固,性能穩定可靠,使用期限長,價格低廉。 
2、噴嘴算采用******標準與加工 
3、噴嘴應用范圍廣,全部單相流皆可測量,部分混相流亦可應用。 
4、標準型節流裝置無須實流校準,即可投用。 
5、采用進口單晶硅智能差壓傳感器
6、高精度,完善的自診斷功能
7、智能標準噴嘴智能孔板流量計其量程可自編程調整。
8、智能標準噴嘴可同時顯示累計流量、瞬時流量、壓力、溫度。
9、具有在線、動態全補償功能外,智能孔板流量計還具有自診斷、自行設定量程。

五、技術參數:

1、公稱直徑:20mm≤DN≤630mm;
2、公稱壓力:PN≤32Mpa;
3、工作溫度:-50℃≤t≤550℃;
4、雷諾數范圍:0.30≤β≤0.44時,70000≤ReD≤107;
0.44≤β≤0.8時,20000≤ReD≤107;
5、喉徑比:0.30≤β≤0.80;
6、精度:0.5級、1.0級、1.5級、2.0級;
7、參照標準:GB/T2624-2006、JJG640-94;
8、連接方式:法蘭連接、焊接。

六、孔板和噴嘴流量計是兩種不同的差壓式流量計:
1、噴嘴流量計
優點:長頸噴嘴歷史悠久,有大量的各種試驗數據,噴嘴流量計結構簡單牢固,無可動部件、長期使用穩定可靠,豐富的設計制造和應用經驗,標準化程度高,可不必進行實流標定。標準噴嘴有可靠的實驗數據和完善的******、******標準。計量數據真實可信,可作為貿易結算計量用表。
缺點:生產制造較復雜,單價較高.
2、孔板
孔板流量計優點:性價比較高。標準孔板歷史悠久,有******、******標準及檢定規程和大量的試驗數據,不用實流標定。計量數據真實可信,可作為貿易結算計量用表。
缺點:孔板銳角邊的磨損、臟污等因素均會影響計量精度。檢定周期較短6-12個月。
七、結構形式:
噴嘴流量計由垂直于軸線的入口平面部分A、圓弧形曲面B和C所構成的入口收縮部分、圓筒形喉部E和為防止邊緣損傷所需的保護槽F組成,其取壓方式上游取壓口采用角接取壓,下游取壓口可按角接取壓設置,也可設置于較遠下游處。噴嘴總長度 
a、當0.30≤β≤2/3時,噴嘴長度=0.6041d; 
b、當2/3≤β≤0.80時,噴嘴長度={0.4041+(0.75/β-0.25/β2-0.5225)0.5}d ;
c、ISA 1932噴嘴上游面由垂直于軸的平面、廓形為圓周的兩段弧線所確定的收縮段、圓筒形喉部和凹槽組成的噴嘴。ISA1932噴嘴的取壓方式僅角接取壓一種。
八、安裝注意事項:
1、可水平、垂直或傾斜安裝,應保證管內充滿液體;
2、節流裝置前,后直管段應是直的,無肉眼可見彎曲,同時應是“圓的",內壁應潔凈,無凹坑與沉淀物;
3、直管段長度要求及節流裝置安裝應符合GB/T26224—93有關規定;
4、引壓管路安裝應符合標準規定的規范。

九、適用范圍及特點:

節流件名稱

適用管道

DN mm

適用直徑比Bd/D

應用特點

流出系數不確定度Ec%

設計標準

 

 

角接取壓標準孔板

 

環室式

50500

50500

0.20.75

0.20.75

適用于清潔介質其中GD結構適合高溫高壓條件下流量的測量

0.60.75%

ISO5167

GB/T262493

夾緊環式

50500

0.20.75

易于清除污物,可用于不太清潔流體流量的測量

斜鉆孔式

45010003000

0.20.75

法蘭取壓標準孔板

501000

0.20.75

易于清除污物,適用于各種介質

 

0.60.75%

ISO5167

GB/T262493

徑距取壓標準孔板

501000

0.20.75

角接取壓標準噴嘴

ISA1932噴嘴)

50500

0.30.8

壓損小,壽命長,尤其適用于蒸汽流量測量

0.81.2%

ISO5167

GB/T262493

 長徑噴嘴

50630

0.20.8

壓損小壽命長,LGP型長徑噴嘴組件適合高參數水和蒸汽流量測量

2.0%

ISO5167

GB/T262493

 經典文丘利管

機械加工式

100800

0.20.8

壓力損失小,所需直管段小于孔板、噴嘴

1.0%

ISO5167

GB/T262493

粗焊鐵板式

20012002000

0.40.7

1.5%

 

文丘利噴嘴

65500

0.3160.77

同上

1.21.75%

ISO5167

GB/T262493

1/4圓孔板

25150

0.2450.6

適用于低雷諾數

2.02.5%

DIN   BS

錐形入口孔板

25250

0.10.316

同上

2.0%

BS

圓缺孔板

501500

0.320.8

適用于贓污,有氣泡析出或含有固體微粒的流體測量。

1.5%

DIN

偏心孔板

1001000

0.460.84

12%

ASME

小孔板

12.540

0.20.75

適用于小管道流量測量

0.75%

ASME

透鏡式孔板

12.5150

0.20.75

適用于高壓常溫小管道流量測量

0.60.75%

ISO5167ASME

十、分類型號參數對照表:

名稱

型號

取壓方式

公稱管徑(mm

公稱壓力(MPa

執行標準(結構)

標準孔板

LGB

角接(環室取壓)

50400

小于10

GB2624 K07

LGB-Z

角接(鉆孔取壓)

4002000

小于1.6

LGB

環室(八槽)

50400

小于32

流量測量手冊

LGB

環室(無法蘭焊接式)

50275

小于28.22

流量測量手冊

LGB-F

法蘭取壓

50800

小于2.5

GB2624 K06

LGB-F

法蘭取壓

50400

4.040

GB2624 K06

LGB-J

徑距取壓

50760

小于10

GB2624

標準噴咀

LGP

角接(環室取壓)

50400

小于10

GB2624

流量測量手冊

LGP-Z

角接(鉆孔取壓)

400500

小于1.6

LGP

環室(八槽)

50300

小于32

流量測量手冊

LGP 

環室(高壓透鏡墊式)

15150

小于32

LGP

環室(無法蘭焊接式)

175350

小于17.36

DG 07020710

長徑噴咀

LGC-J

徑距取壓

50630

小于16

GB2624

1/4圓孔板

LGH

角接取壓

50260

小于10

GB2624

流量測量手冊

LGH-F

法蘭取壓

50200

小于6.4

文丘里噴咀

LGL

角接取壓

65500

小于2.5

文丘里管

LGW

特殊取壓

501200

小于2.5

雙文丘里管

LGW-S

特殊取壓

小于1000

小于0.6

小管徑孔板

LGX

角接取壓

1240

小于6.4

K07(蘭化)

LGX-F

法蘭取壓

1240

小于6.4

企業標準

高壓透鏡墊

LGT

角接取壓

50150

小于32

流量測量手冊

圓缺孔板

LGQ

角接(環室取壓)

100400

小于1.6

LGQ-Z

角接(鉆孔取壓)

4001000

小于1.6

LGQ-F

法蘭取壓

100350

小于6.4

雙重孔板

LGS

角接取壓

100400

小于6.4

偏心孔板

LGN

角接取壓

1001000

小于6.4

限流孔板

LG-XL


10300

小于6.4

企業標準

錐形入口孔板

LGR

角接取壓

251000

小于10

GB2624

機翼測風裝置

LJY

特殊取壓

少于1000

小于0.6

企業標準

十一、選型編碼:

型號

 

ZW-LG

節流裝置(中偉測控)


代號

按其結構特征的兩大基本分類


B

標準孔板


P

標準噴嘴


代號

公稱壓力(105Pa


2.5

2.5


10

10


16

16


25

25


64

64


100

100


200

200


代號

口徑(mm)


151200

151200mm


代號

按其結構形式細分


H

標準孔板(環室)


Y

標準孔板(法蘭)


K

標準孔板(鉆孔)


I

ISA 1932噴嘴


L

長徑噴嘴


W

文丘利噴嘴


G

經典文丘利管


S

雙重孔板


Q

圓缺孔板


Z

錐形入口孔板


R

1/4圓孔板


P

偏心孔板


N

整體(內藏)孔板


X

楔形孔板


T

不在上述之列的特殊節流裝置


代號

介質


1

液體


2

氣體


3

蒸汽


4

高溫液體


代號

補償形式


N

不帶壓力、溫度補償


P

帶壓力補償輸出


T

帶溫度補償輸出


Q

帶壓力、溫度補償輸出


代號

變送器差壓量程范圍


0

微差壓量程


1

低差壓量程


2

中差壓量程


3

高差壓量程


代號

是否帶現場顯示


W

節流裝置傳感器


X

智能節流裝置

十三、設計訂貨須知事項:  

用戶訂貨時請提供以下條件以便幫助正確選擇流量計的規格和系數。 

1、 管道尺寸:外徑×壁厚(mm);

2、測量介質名稱:介質密度〔kg/m3〕;

3、設定的流量范圍:即流量計的量程上限值和下限值〔kg/h或m3/h〕;

5、工作壓力:(Mpa);

6、工作溫度:(°C);

7、如配我中偉公司智能流量積算儀請一齊提供:壓力變化范圍,或壓力變送器型號、量程;溫度變化范圍,或溫度變送器型號、量程。  

售后服務承諾:

1、從合同簽訂之日起,我中偉公司對所提供的產品提供免費保養及維護服務,承諾終生維修服務;

2、江蘇中偉測控儀表有限公司的銷售經理將定期與客戶聯系,了解產品的使用情況,并解決客戶使用過程中產生的問題,無償提供技術支持;

3、保修期內出現人為的損壞,我公司負責進行維修,并收取由此產生的維修費用;

4、產品出現質量問題或對產品不滿意,用戶可以無條件的選擇退換貨,中偉測控不收取任何的手續費,出現質量問題,承擔來回的運費。


瀏覽:
上一篇:V錐流量計
下一篇:孔板流量計
返回頂部

分享到: